Mexen Lima Duo sprchový kút skladací 100 x 90 cm, priehľadné sklo, profil čierny - 856-100-090-70-00-02
Kód: 13272
Kamenná predajňa
Osobný nákup u nás

Odborné poradenstvo
Pomôžeme vám s výberom

Rýchle dodanie
Rýchlo a spoľahlivo až k vám

Doprava zadarmo
Nad 500 EUR
Podrobný popis
Technické údaje:
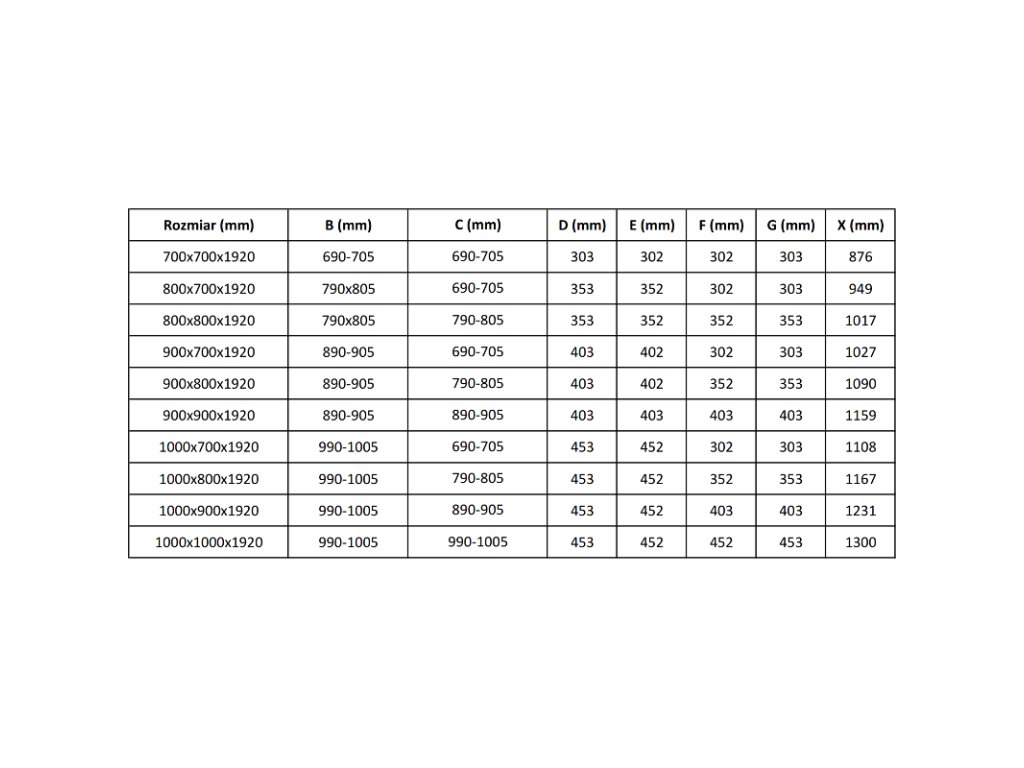
rozmery: 10x90 cm
výška: 190 cm
montáž: univerzálna Ľ+P
vstup: dvere skladacie
farba skla: priehľadné - transparent
povrchová úprava: čierna matná
typ skla: tvrdené - bezpečnostné
hrúbka skla: 6 mm
profil: hliník
povlak pre ľahké čistenie: áno
vyrovnanie nerovností steny: áno
nastavenie šírky: áno
montáž na dlažbu alebo sprchovú vaničku: áno
kovová rukoväť
sada tesnení na odvod vody
hliníkový prah dverí
Dodatočné parametre
| Kategória: | Sprchové kúty pre moderné aj praktické kúpeľne |
|---|---|
| Hmotnosť: | 85 kg |
| EAN: | 5907709164970 |
| Dlhšia strana: | 100 cm |
| Kratšia strana: | 90 cm |
| Farba profilu: | Čierna |
| Farba skla: | priehľadná |
| Hrúbka skla: | 6 mm |
| Montáž vedľa seba: | Univerzálny |
| Ochranný náter: | Áno |
| Séria: | Lima |
| Strana montáže: | Áno |
| Tvrdené sklo: | Áno |
| Typ: | Obdĺžnikový |
| Vstup: | Čierny |
| Vstupná Šírka: | univerzálna Ľ + P |
| Výška: | 190 |
Buďte prvý, kto napíše príspevok k tejto položke.
Pridať hodnotenie
Buďte prvý, kto napíše príspevok k tejto položke.
